














Hướng Dẫn Tự Ôn Thi Tuyển Sinh Vào Lớp 10 Môn Toán
Hiện nay, đất nước ta đang bước vào công cuộc đổi mới giáo dục. Sách giáo khoa và chương trình môn Toán cấp Trung học cơ sở đang ngày càng đổi mới theo xu thế phù hợp với thời đại, chú ý nhiều đến tính ứng dụng của toán học để giải quyết các vấn đề trong cuộc sống.
Với các yêu cầu trên, những năm gần đây, đề tuyển sinh toán 10 tỉnh Ninh Thuận có nhiều thay đổi, ngoài các câu hỏi kiểm tra kiến thức trọng tâm cần nắm vững thì còn có thêm một số dạng toán liên quan đến các vấn đề trong thực tế với nội dung đa dạng, tránh học vẹt, học tủ.
Để đáp ứng nhu cầu tự học của học sinh lớp 9 trong kỳ thi tuyển sinh 10 cũng như cung cấp nguồn tài liệu cho các giáo viên, chúng tôi biên soạn cuốn sách Hướng dẫn tự ôn thi tuyển sinh vào lớp 10 môn Toán. Cấu trúc sách gồm 2 phần:
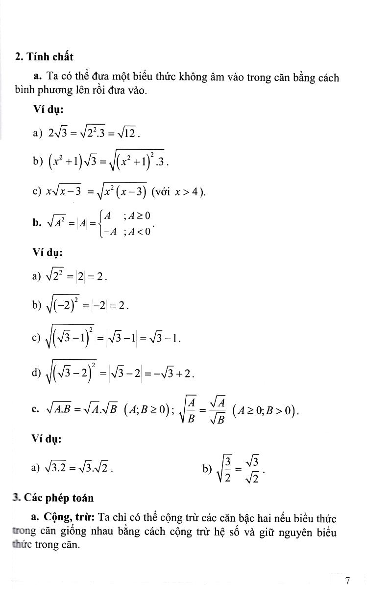
Phần 1. Tóm tắt lý thuyết toán 9: Lý thuyết được tóm tắt ngắn gọn, dễ hiểu.
Phần 2. Tuyển tập 20 đề minh họa: Bài tập được giải chi tiết từng câu để học sinh tự học.
Giá sản phẩm trên Tiki đã bao gồm thuế theo luật hiện hành. Bên cạnh đó, tuỳ vào loại sản phẩm, hình thức và địa chỉ giao hàng mà có thể phát sinh thêm chi phí khác như phí vận chuyển, phụ phí hàng cồng kềnh, thuế nhập khẩu (đối với đơn hàng giao từ nước ngoài có giá trị trên 1 triệu đồng).....
| Công ty phát hành | Cty Đầu Tư & Phát Triển Giáo Dục Sài Gòn |
|---|---|
| Ngày xuất bản | 2023-12-21 14:00:00 |
| Kích thước | 24 x 17 x 0.9 cm |
| Loại bìa | Bìa mềm |
| Phương thức giao hàng Seller Delivery | Nhà bán giao hàng cho khách hàng |
| Nhà xuất bản | Nhiều Nhà Xuất Bản |
| SKU | 9774218418205 |
destination b1 bảng tuần hoàn hóa học nghị luận xã hội hóa học hình học phẳng chuyên anh sinh học sách giáo khoa lớp 8 bảng tuần hoàn các nguyên tố hoá học sách giáo khoa lớp 7 vật lý phan khắc nghệ atlat địa lý việt nam chinh phục đề thi vào 10 toán 9 toán 7 sách ôn thi vào lớp 10 sổ tay toán học bài tập tiếng anh 8 tiếng anh lớp 8 all in one luyện chuyên sâu ngữ pháp và bài tập tiếng anh vật lý 7 tiếng anh 8 tiếng anh lớp 6 chinh phục đề thi vào 10 môn văn sách chinh phục luyện thi vào lớp 10 tiếng anh 9 đề kiểm tra toán 9 hóa học 8