Sách - 50 Đề Luyện Thi Đánh Giá Năng Lực Theo Cấu Trúc Của Trường Đại Học Sư Phạm Hà Nội - Môn Toán

Tác giả: Nhiều Tác Giả | Xem thêm các tác phẩm Sách Luyện Thi Đại Học - Cao Đẳng của Nhiều Tác Giả
50 Đề Luyện Thi Đánh Giá Năng Lực Theo Cấu Trúc Của Trường Đại Học Sư Phạm Hà Nội - Môn Toán Cuốn sách gồm 50 đề – xây dựng, phát triển và mở rộng ma trận dựa trên cấu trúc đề thi chính thức...
  • Giao hàng toàn quốc
  • Được kiểm tra hàng
  • Thanh toán khi nhận hàng
  • Chất lượng, Uy tín
  • 7 ngày đổi trả dễ dàng
  • Hỗ trợ xuất hóa đơn đỏ

Giới thiệu Sách - 50 Đề Luyện Thi Đánh Giá Năng Lực Theo Cấu Trúc Của Trường Đại Học Sư Phạm Hà Nội - Môn Toán

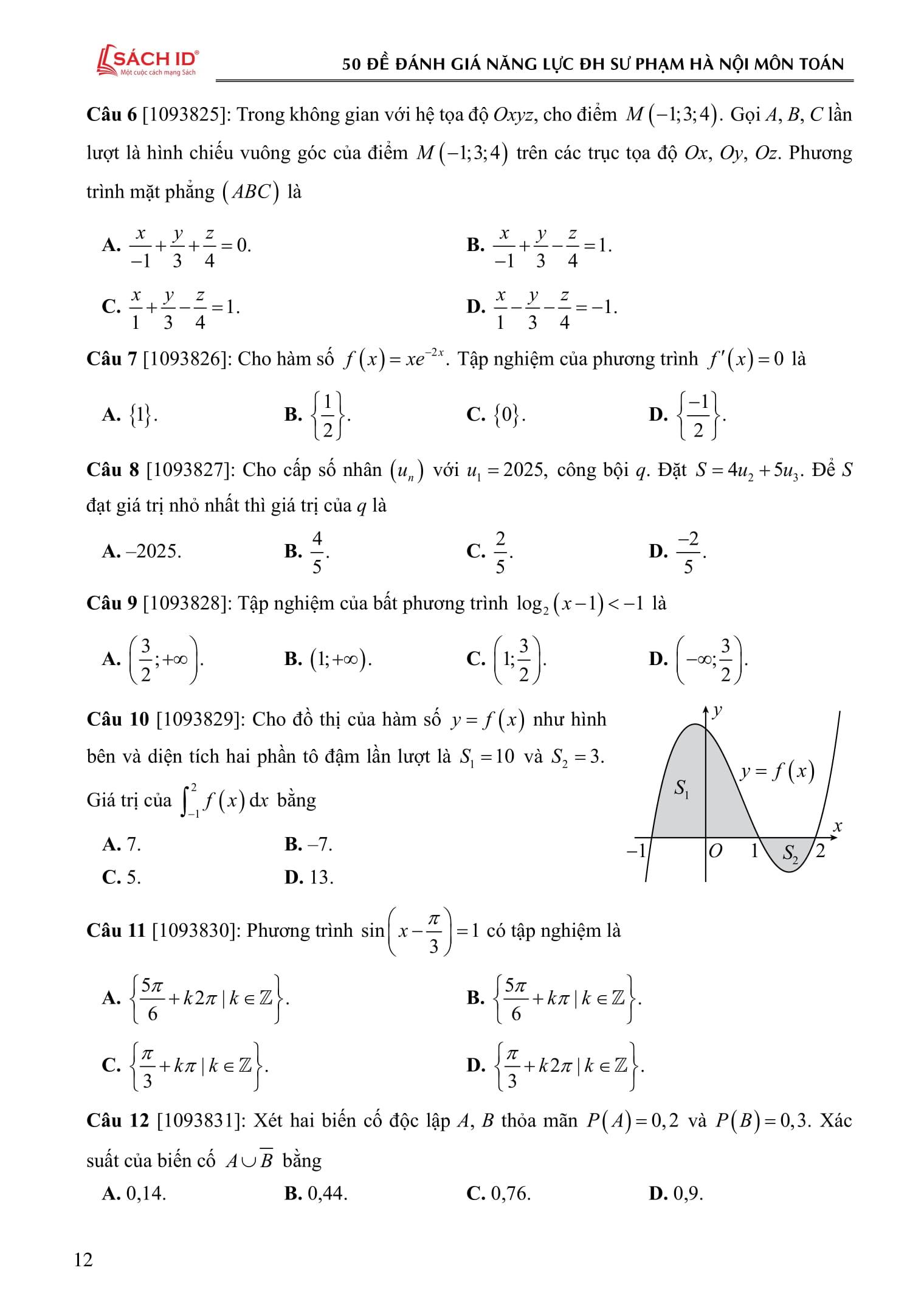
50 Đề Luyện Thi Đánh Giá Năng Lực Theo Cấu Trúc Của Trường Đại Học Sư Phạm Hà Nội - Môn Toán

Cuốn sách gồm 50 đề – xây dựng, phát triển và mở rộng ma trận dựa trên cấu trúc đề thi chính thức và minh hoạ môn Toán của trường Đại học Sư phạm Hà Nội; các câu hỏi được thiết kế theo định hướng đánh giá năng lực, gắn với bối cảnh có giá trị nhất định về thực tiễn và khoa học, phù hợp với chương trình thực giáo dục phổ thông mới. Đề thi được biên soạn kết hợp các dạng câu hỏi trắc nghiệm và tự luận; đánh giá mức độ thông hiểu kiến thức cốt lõi và năng lực lập luận, phân tích, đánh giá, giải quyết vấn đề và sáng tạo.

Trong quá trình biên soạn, bên cạnh vốn hiểu biết của nhóm, chúng tôi còn chọn lọc, tham khảo và phản biện từ nhiều tài liệu uy tín trong và ngoài nước, nhằm đảm bảo tính khoa học, hiện đại và phù hợp với thực tiễn dạy – học theo chương trình GDPT 2018.

- Về tổng quan hình thức: Cuốn sách được biên soạn gồm 50 đề thi, mỗi đề được tách riêng và chế bản theo phông chữ và trình bày như đề thi thật. Điều này giúp cho thí sinh làm quen, không còn lạ lẫm với định dạng của đề thi thật.

Với mỗi đề được biên soạn chuẩn cấu trúc bài thi gồm dạng thức câu hỏi trắc nghiệm và câu hỏi tự luận, mỗi câu hỏi trong dạng thức sẽ khai thác một vấn đề khác nhau, một khía cạnh khác nhau.

+ Dạng thức 1: Câu hỏi trắc nghiệm nhiều lựa chọn – mỗi câu hỏi thí sinh chỉ chọn một phương án.

+ Dạng thức 2: Câu hỏi trắc nghiệm dạng Đúng/Sai – trong mỗi ý a), b), c), d) ở mỗi câu, thí sinh chọn đúng hoặc sai.

+ Dạng thức 3: Câu hỏi trắc nghiệm dạng trả lời ngắn – điền đáp án.

+ Dạng thức 4: Câu hỏi tự luận – mỗi câu hỏi thí sinh trình bày lời giải chi tiết.

Hệ thống bài tập trong mỗi đề đều được gắn với một mức độ tư duy:

1/ Biết: Nhận biết và nhớ lại các thông tin đã được tiếp nhận trước đó.

2/ Hiểu: Hiểu được ý nghĩa của thông tin, diễn đạt được thông tin theo ý hiểu của cá nhân.

3/ Vận dụng: Vận dụng thông tin đã biết vào một tình huống, điều kiện mới hoặc để giải quyết vấn đề.

- Về nội dung, bố cục: Mỗi đề thi được biên soạn theo đúng ma trận đề thi thật đã được các thầy dày công nghiên cứu. Các câu hỏi, vấn đề được biên soạn mang tính đa dạng, phong phú và được phân bố hợp lý đảm bảo tính chặt chẽ và mức độ phù hợp theo định hướng đánh giá năng lực.

Một cuốn sách dù phong phú và đa dạng đến đâu cũng không thể phát huy hiệu quả nếu người học không có tinh thần vượt khó và ý thức tự học. Với môn Toán, các em cần lựa chọn một phương pháp học thông minh và khai thác tối đa cuốn sách theo các bước sau:

+ Bước 1: Làm đề thi theo đúng thời gian trước khi tra cứu đáp án.

+ Bước 2: Tra đáp án và kết hợp xem video hướng dẫn giải.

+ Bước 3: Ghi chép lại những kiến thức quan trọng, phù hợp với nhu cầu học tập của bản thân.

+ Bước 4: Tự suy ngẫm từng câu hỏi, đối chiếu với lời giải và phần chia sẻ kèm theo để hình thành phương pháp tư duy và cách giải cho từng dạng bài.

Quá trình này đòi hỏi sự quyết tâm và tính kỷ luật. Hãy luôn nghiêm túc làm đề trước khi xem đáp án. Nếu gặp khó khăn, phần bình luận trong mỗi ID bài tập sẽ giúp các em trao đổi và tháo gỡ vướng mắc. Nhóm tác giả tin rằng khi các em hoàn thành và thấm nhuần toàn bộ cuốn sách này, những câu hỏi trong đề thi sẽ không còn là trở ngại.

Giá sản phẩm trên Tiki đã bao gồm thuế theo luật hiện hành. Bên cạnh đó, tuỳ vào loại sản phẩm, hình thức và địa chỉ giao hàng mà có thể phát sinh thêm chi phí khác như phí vận chuyển, phụ phí hàng cồng kềnh, thuế nhập khẩu (đối với đơn hàng giao từ nước ngoài có giá trị trên 1 triệu đồng).....


Giá HEGIC

Thông tin chi tiết

Công ty phát hànhAladanh
Ngày xuất bản2023-12-21 14:00:00
Kích thước27 x 19 x 1.2 cm
Loại bìaBìa mềm
Phương thức giao hàng Seller DeliveryNhà bán giao hàng cho khách hàng
Nhà xuất bảnNhiều Nhà Xuất Bản
SKU8432420593470
Liên kết: Kem dưỡng da tay và chân cấp ẩm chuyên sâu Rich Hand V Hand & Foot Total Treatment The Face Shop 110ml