









Bồi Dưỡng Năng Lực Toán 11 - Tập 2
Để đáp ứng nhu cầu tự học của học sinh lớp 11 cũng như nguồn tài liệu cho giáo viên giảng dạy. Cuốn sách "Bồi Dưỡng Năng Lực Toán 11 Tập 2" Theo Chương Trình Mới (Dùng Chung Cho Các Bộ Sách)
Tiếp nối phần 1, phần 2 gồm các chương:
Chương 6. HÀM SỐ MŨ VÀ HÀM SỐ LÔGARIT
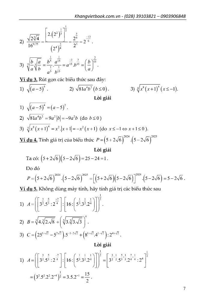
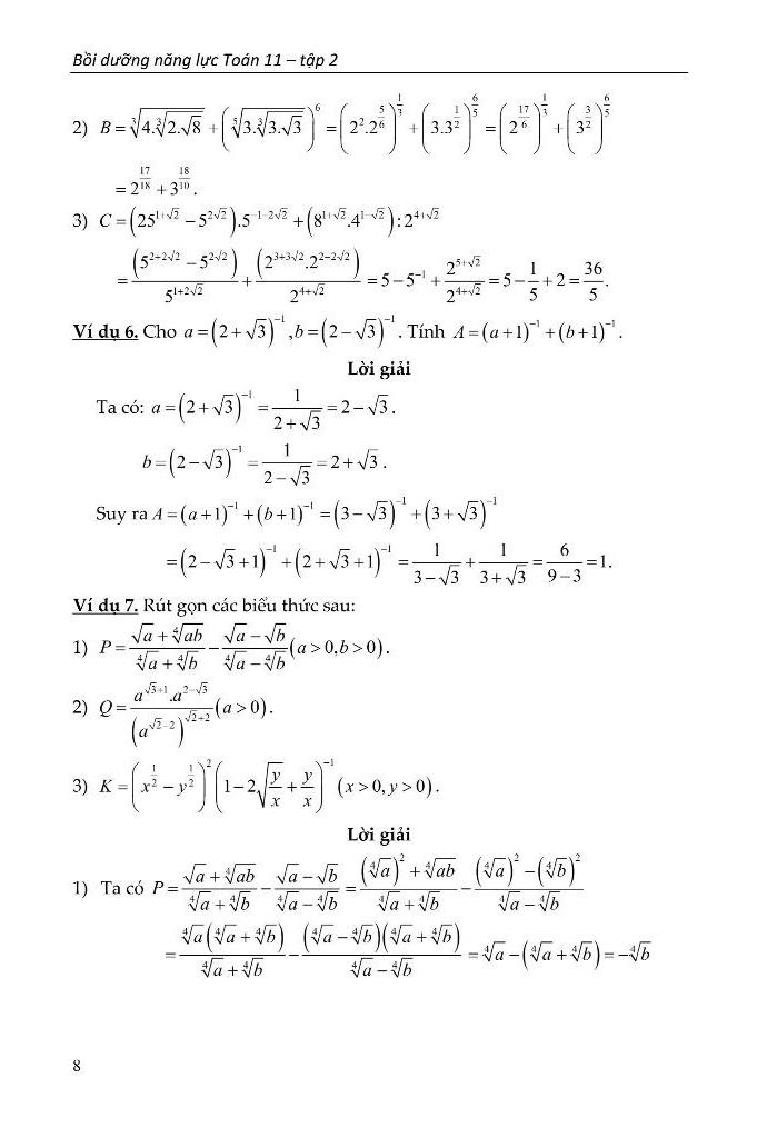
Bài 1. Phép tính lũy thừa
Bài 2. Lôgarit
Bài 3. Hàm số mũ
Bài 4. Hàm số lôgarit
Bài 5. Phương trình, bất phương trình mũ và lôgarit
Ôn tập chương 6
Chương 7. ĐẠO HÀM
Bài 1. Đạo hàm
Bài 2. Các quy tắc tính đạo hàm
Ôn tập chương 7
Chương 8. QUAN HỆ VUÔNG GÓCTRONG KHÔNG GIAN.........
Bài 1. Hai đường thẳng vuông góc
Bài 2. Đường thẳng vuông góc với mặt phẳng
Bài 3. Hai mặt phẳng vuông góc
Bài 4. Khoảng cách trong không gian
Bài 5. Góc giữa đường thẳng và mặt phẳng. Góc nhị diện
Ôn tập chương 8
Chương 9. XÁC SUẤT
Bài 1. Biến cố giao và quy tắc nhân xác suất
Bài 2. Biến cố hợp và quy tắc cộng xác suất
Ôn tập chương 9.
HOẠT ĐỘNG THỰC HÀNH VÀ TRẢI NGHIỆM
Vẽ hình khối bằng phần mềm Geogebra
Giá sản phẩm trên Tiki đã bao gồm thuế theo luật hiện hành. Bên cạnh đó, tuỳ vào loại sản phẩm, hình thức và địa chỉ giao hàng mà có thể phát sinh thêm chi phí khác như phí vận chuyển, phụ phí hàng cồng kềnh, thuế nhập khẩu (đối với đơn hàng giao từ nước ngoài có giá trị trên 1 triệu đồng).....
| Công ty phát hành | Cty Văn Hóa Khang Việt |
|---|---|
| Ngày xuất bản | 2023-12-21 14:00:00 |
| Kích thước | 24 x 16 x 1.4 cm |
| Loại bìa | Bìa mềm |
| Phương thức giao hàng Seller Delivery | Nhà bán giao hàng cho khách hàng |
| Nhà xuất bản | NXB Dân Trí |
| SKU | 9848676740026 |
bảng tuần hoàn hóa học mega 2021 thpt quốc gia 2021 lovebook vĩnh bá nghị luận xã hội hoá học 11 hóa học bất đẳng thức hoá hữu cơ hoá 12 chuyên anh sinh học đánh giá năng lực bộ sách giáo khoa lớp 11 sách giáo khoa lớp 11 đột phá 8 mega vật lý sách ôn thi thpt quốc gia 2021 đột phá 8 toán công phá toán 3 tiếng anh thpt quốc gia cấp tốc 789 sách văn ôn thi thpt quốc gia 2021 bộ sách mega 2020 - siêu tốc luyện đề thpt quốc gia siêu luyện đề 9 big step toán 12 ôn thi thpt quốc gia 2021 ôn thi thpt quốc gia 2021 môn tiếng anh